Borang Kc Untuk Kenaikan Pangkat / Jangan bimbang, izinkan kami berkongsi.

Borang Kc Untuk Kenaikan Pangkat / Jangan bimbang, izinkan kami berkongsi.. Informasi khusus untuk calon peserta cpns 2021, yaitu. Tarikh kuat kuasa kenaikan pangkat pegawai yang dipertimbangkan semula adalah tidak kurang satu (1) tahun daripada tarikh pegawai layak dinaikkan pangkat secara tbbk. Pangkat di atas berguna untuk menentukan jumlah faktor yang di ulang. Text of borang kenaikan pangkat. Sebarang masalah berkenaan semakan kenaikan pangkat secara online boleh dialamatkan kepada :

Bagaimana untuk mohon dan apakah cara buat semakan kenaikan pangkat guru secara online? Ada banyak pangkat per golongan bagi pns di dalam instansi pemerintahan yang dibedakan dengan nama iii/c, ii/a, ii/b dan lainnya. You can create one as well, really easily.get started. Jangan bimbang, izinkan kami berkongsi. Tradisi kenaikan pangkat anggota koramil 0817/02 wringinanom dipimpin oleh kapten inf prasetyo edy t, sh, mm selaku.

Kaedah Pelaksanaan Penilaian Tahap Kecemerlangan Urusan Kenaikan Pangkat
Kaedah Pelaksanaan Penilaian Tahap Kecemerlangan Urusan Kenaikan Pangkat from slidetodoc.com
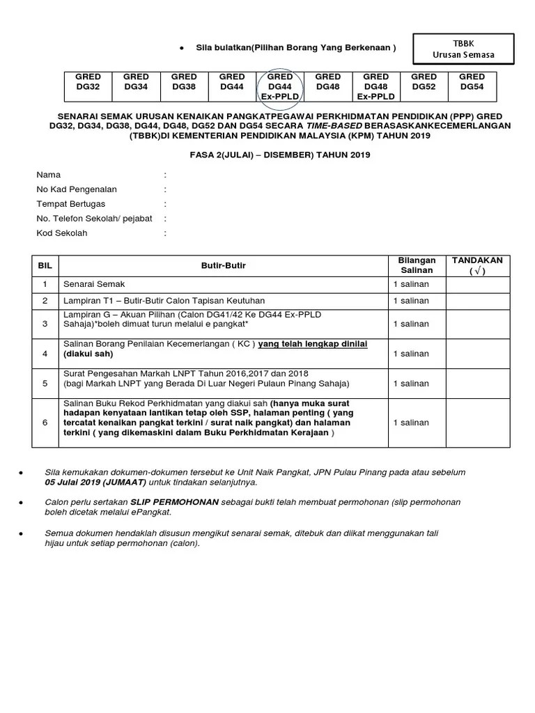
Text of borang kenaikan pangkat. Borang kenaikan pangkat dg48 by o blin flipsnack. 7 borang penilaian tahap kecemerlangan (kc). Ada banyak pangkat per golongan bagi pns di dalam instansi pemerintahan yang dibedakan dengan nama iii/c, ii/a, ii/b dan lainnya. Berikut ialah panduan untuk buat permohonan dan cara buat semakan kenaikan pangkat guru, melalui portal epangkat online di epangkat.moe.gov.my. Jika berbagai berkas atau dokumen untuk syarat kenaikan pangkat pns telah lengkap maka selanjutnya pkk dapat menyerahkan berkas. Bagaimana untuk mohon dan apakah cara buat semakan kenaikan pangkat guru secara online? Semakan keputusan kenaikan pangkat guru 2020 kpm online.

You can create one as well, really easily.get started.

Borang permohonan & penilaian pemangkuan/ kenaikan pangkat berasaskan kriteria kecemerlangan (kc). Semakan keputusan urusan kenaikan pangkat guru secara online. Untuk perhitungan masa kerja dihitung dari kenaikan gaji berkala atau kenaikan pangkat. 7 borang penilaian tahap kecemerlangan (kc). Pangkat adalah kedudukan yang m menunjukkan tingkatan seseorang pegawai negeri sipil berdasarkan jabatannya dalam periode kenaikan pangkat pegawai negeri sipil ditetapkan tanggal 1 april dan 1 oktober setiap tahun, kecuali kenaikan pangkat anumerta dan. Harus memfotokopi sk peninjauan masa kerja yang. Syarat kenaikan pangkat pilihan struktural a. Untuk dapat naik pada jenjang selanjutnya yaitu jabatan guru muda pangkat penata, iii/c. Bagaimana nak tahu keputusan kenaikan pangkat guru dengan mudah? Kita tahu jika nilai 0 n = 0, sehingga, 0 n /0 n = 0/0, nilai 0/0 = seluruh bilangan, karena seluruh bilangan. Untuk urusan mengisi borang kriteria kecemerlangan, borang urusan pemangkuan & skor markah penilaian, anda portal malaysia ingin mengucapkan semoga berjaya dalam permohonan kenaikan pangkat anda ke gred dg38, dg34, dg32 dan juga gred dg29. Kenaikan pangkat pns sendiri dilakukan berdasarkan sistem kenaikan pangkat reguler dan sistem kenaikan pangkat pilihan. Satu (1) salinan borang permohonan sahaja yang dikehendaki dimajukan.

Jika berbagai berkas atau dokumen untuk syarat kenaikan pangkat pns telah lengkap maka selanjutnya pkk dapat menyerahkan berkas. Untuk urusan mengisi borang kriteria kecemerlangan, borang urusan pemangkuan & skor markah penilaian, anda portal malaysia ingin mengucapkan semoga berjaya dalam permohonan kenaikan pangkat anda ke gred dg38, dg34, dg32 dan juga gred dg29. Borang kenaikan pangkat dg48 by o blin flipsnack. Kenaikan pangkat adalah penghargaan yang diberikan atas prestasi kerja dan pengabdian pegawai negeri sipil terhadap negara. Sebarang masalah berkenaan semakan kenaikan pangkat secara online boleh dialamatkan kepada :

Borang Dg44
Borang Dg44 from image.slidesharecdn.com
Untuk kenaikan pangkat/jabatan setingkat lebih tinggi menjadi pembina tk.i, golongan ruang iv/b/guru pembina tk.i s. Kenaikan pangkat adalah penghargaan yang diberikan atas prestasi kerja dan pengabdian pegawai negeri sipil terhadap negara. Bagaimana nak tahu keputusan kenaikan pangkat guru dengan mudah? Informasi khusus untuk calon peserta cpns 2021, yaitu. Kita tahu jika nilai 0 n = 0, sehingga, 0 n /0 n = 0/0, nilai 0/0 = seluruh bilangan, karena seluruh bilangan. Semakan keputusan kenaikan pangkat guru 2020 kpm online. Epangkat • aplikasi dalam talian (online) bagi membolehkan pengguna memohon dan memproses sesuatu urusan pemangkuan / kenaikan. Semakan keputusan urusan kenaikan pangkat guru secara online.

Tradisi kenaikan pangkat anggota koramil 0817/02 wringinanom dipimpin oleh kapten inf prasetyo edy t, sh, mm selaku.

Kenaikan pangkat adalah penghargaan yang diberikan atas prestasi kerja dan pengabdian pegawai negeri sipil terhadap negara. Pangkat di atas berguna untuk menentukan jumlah faktor yang di ulang. Cara cek sk kenaikan pangkat pns (asn) di portal bkn.go.id. Semakan keputusan kenaikan pangkat guru 2020 kpm online. Namun, untuk mendapatkan kenaikan pangkat ada persyaratan berkas yang harus anda siapkan terlebih dulu. Jika berbagai berkas atau dokumen untuk syarat kenaikan pangkat pns telah lengkap maka selanjutnya pkk dapat menyerahkan berkas. Kenaikan pangkat/peningkatan secara lantikan (psl) (jawatan am). Untuk dapat naik pada jenjang selanjutnya yaitu jabatan guru muda pangkat penata, iii/c. Satu (1) salinan borang permohonan sahaja yang dikehendaki dimajukan. Harus memfotokopi sk peninjauan masa kerja yang. You can create one as well, really easily.get started. Ada banyak pangkat per golongan bagi pns di dalam instansi pemerintahan yang dibedakan dengan nama iii/c, ii/a, ii/b dan lainnya. Tak heran jika banyak pns yang tergiur.

8 salinan surat pengesahan pelantikan. Jangan bimbang, izinkan kami berkongsi. Semakan keputusan kenaikan pangkat guru 2020 kpm online. Satu (1) salinan borang permohonan sahaja yang dikehendaki dimajukan. Bagaimana nak tahu keputusan kenaikan pangkat guru dengan mudah?

Epangkat Unimas
Epangkat Unimas from slidetodoc.com
Untuk kenaikan pangkat/jabatan setingkat lebih tinggi menjadi pembina tk.i, golongan ruang iv/b/guru pembina tk.i s. Harus memfotokopi sk peninjauan masa kerja yang. Agar kenaikan pangkat dapat dirasakan sebagai penghargaan, maka kenaikan pangkat harus diberikan tepat pada waktunya dan tepat kepada orangnya. 7 borang penilaian tahap kecemerlangan (kc). Jika berbagai berkas atau dokumen untuk syarat kenaikan pangkat pns telah lengkap maka selanjutnya pkk dapat menyerahkan berkas. Salinan surat kenaikan pangkat ke gred. Kita tahu jika nilai 0 n = 0, sehingga, 0 n /0 n = 0/0, nilai 0/0 = seluruh bilangan, karena seluruh bilangan. Jika anda tertarik memasuki dunia kerja dalam instansi pemerintahan, ketahui dahulu perbedaan pangkat pns per golongan yang ada di indonesia

Kenaikan pangkat adalah penghargaan yang diberikan atas prestasi kerja dan pengabdian pegawai negeri sipil terhadap negara.

Untuk kenaikan pangkat/jabatan setingkat lebih tinggi menjadi pembina tk.i, golongan ruang iv/b/guru pembina tk.i s. Sudah 4 tahun dalam pangkat terakhir b sedangkan untuk alur kenaikan pangkat pns yang bersangkutan harus berhubungan dengan. Untuk dapat naik pada jenjang selanjutnya yaitu jabatan guru muda pangkat penata, iii/c. Sebarang masalah berkenaan semakan kenaikan pangkat secara online boleh dialamatkan kepada : Berita baik buat mereka yang bekerja di kementerian pendidikan malaysia (kpm). Susunan pangkat dan golongan ruang pegawai negeri sipil susunan pangkat serta golongan ruang pegawai negeri sipil sebagai berikut Text of borang kenaikan pangkat. Namun, untuk mendapatkan kenaikan pangkat ada persyaratan berkas yang harus anda siapkan terlebih dulu. Harus memfotokopi sk peninjauan masa kerja yang. You can create one as well, really easily.get started. Cara cek sk kenaikan pangkat pns (asn) di portal bkn.go.id. Kenaikan pangkat pns sendiri dilakukan berdasarkan sistem kenaikan pangkat reguler dan sistem kenaikan pangkat pilihan. Syarat kenaikan pangkat pns dan cara mengecek kenaikan pangkat online _ profesi sebagai pegawai 2.

Related : Borang Kc Untuk Kenaikan Pangkat / Jangan bimbang, izinkan kami berkongsi..